אני תמיד פה בשביל להתראיין
מה עם מה בפח?עמירם
בלי נדר. יש לך ת'צופר של הרב אבינר אאלט על כניסה להדרכה?פוסעת
תמיד אפשר לחפש בגוגלירא שמים!
לא מוצאתפוסעת
איזה צ'ופר? איך הולך?עמירם
לא מכיר
כזהפוסעת
לפעמים פונה אליי חבר, מקדים ואומר, "מקווה שאינני מפריע"
אז אני פה להודיע- זה לא מפריע לי- בשיל זה אני פה..
לא.. אחד אחר, הסתדרתי.. תודה
פוסעת
..פנים אחרות.אחרונה
אם היה לי זמן הייתי מחפשת לך..
נו איזה שיר זה היה אתמול? שכחתי...רץ לשום מקום
פרדס רימונים של בוצר...אבל הפעם זה בלי זמרות
אוהב אותך ה
כן אבל מה היה הפזמוןרץ לשום מקום
הטוב שלך ינצח...אוהב אותך ה
כןכןכןרץ לשום מקום
הטוב שלך ינצח את כל השברים ולאט תהלכי בפרדס רימונים (צורח)אוהב אותך ה
יסססססססססססרץ לשום מקוםאחרונה
זה לא פייר.שיח סוד
אז הוא למד כ"כ הרבה וכ"כ טוב, ואמר שהיה בסדר במבחן.
ואז הוא קיבל ציון נמוך, אבל ממש ממש נמוך.
איך???
אני מקווה שזה לא יוריד ממנו להמשיך להשקיע, אבל זה לא הגיוני.
לי זה הרס תמצב רוח.
אאעע אשכרה תפילת קרליבך בסניף הפרסי הזהההלעשות רצונך!
יאיי,
רק בשביל להסתלבט עליהם אני יבוא
אני יודעת.פנים אחרות.
כשכבר התחלתי להביןפנים אחרות.
מעצמי
ובעיקר ממך.
תבואי בלי הרגשותפנים אחרות.
יגיע מבול שישטוף את הכל,פנים אחרות.
נתתי לך עיניים שתבכיפנים אחרות.
שלחי אותופנים אחרות.
אף כי יודעת את,
שלא יחזור
אלייך.
אין לי אף אחד שיגידפנים אחרות.
תשכחי מזה כמו תמיד.
רגעים שהשאירו בי כוויותפנים אחרות.אחרונה
כל כך רציתי לשכוח.
איזה ועדות עושים לחודא?פוסעת
אוכל, צ׳ופריםיחידי
לא?יחידי
גם, פסדרפוסעת
ועדת שירים?יחידי
ועדת צבע (אחראים על הקירות וזה)?
אין, ישפוסעת
נזכרתי. יש ועדת מורל.יחידי
זה כמו וועדת צ'ופריםפוסעת
|מגלגל עיניים|יחידי
תודה על העזרה
פוסעת
ועדת משמעת...נגרינסקי
מה זה אומר?
פוסעת
זו ועדה במכוןנגרינסקי
או ווהפוסעת
אולי אתה מכיר את הצ'ופר ההוא של הרב אבינר?פוסעת
נראלי פעם ביקשת...נגרינסקי
ישמצבפוסעת
אז יש כזה בגרסה ארוכה. אותו אני מחפשתפוסעת
מממ...נגרינסקי
חן חן.פוסעת
הנה...נגרינסקי
לפעמים פונה אלי חבר
מקדים ואומר-
"אני מקווה שאינני מפריע לך".
זה לא מפריע לי,
בשביל זה אני נמצא,
תוכלו לפנות אלי
ביישוב, בישיבה ובשעת ארוחה,
בשבילים, בדרכים ובכל זמן מתאים,
בבית, בעבודה או אחרי כל תפילה,
בקיצור ולעניין, זה יוצא כל הזמן
לפעמים חבר פונה אלי ומקדים:
"אני מקווה שאיני מפריע לך".
לכן הנני מודיע,
זה לא מפריע לי.
בשביל זה אני פה.
אפשר תמיד לפנות אלי
בבית-הכנסת ובשבילים
בבית ובכל מקום
בשבת ובחול
בשעת סעודה ובשעת עבודה
ביום ובלילה
ואם בלילה איני עונה
סימן שאני ישן
כל הבוקר חיפשתי. תודה רבה!!!!פוסעת
בכיף...נגרינסקי
היום ו'?פוסעת
ז...נגרינסקי
פוסעתאחרונה
...רץ לשום מקום
אם את כבר כותב אז תכתוב נורמלי..Solomon
יא דג לא כתבתי הכלרץ לשום מקום
וכבר הורידו כל מה שכתבתי.......רץ לשום מקוםאחרונה
יותר מדי יחס לחיצוניות לדעתיירא שמים!
תקשיב כפרא אני שולח לך את המספר שלי..Solomon
שולח?רץ לשום מקום
כתבת יפה. כל הכבודחסידות
יא דגים!!!!רץ לשום מקום
לא כתבתי הכל רק ערכתי קצת....
מה אומר?רץ לשום מקום
מה איתך דג דיגוגיםאוהב אותך ה
דגג נדגגכם נאום נקודות!!רץ לשום מקום
חח
יסטלן אתה כבר בבית?אוהב אותך ה
כע מה סטלן אתה כבר סוטל שניםרץ לשום מקום
אני עוד שניה נכנס לי כאן לדיכאון...איזה מקום מבאס...אוהב אותך ה
חחח יא מדוכארץ לשום מקום
זה לא אני זה המקום המבואס הזה...אוהב אותך ה
וואי וואירץ לשום מקום
מסכן
תנחומים יתקבלו בברכה...הגעת מהר הביתהאוהב אותך ה
כע בכל זאת אני קצת יותר קרוב ממך...רץ לשום מקום
קצתאוהב אותך האחרונה
זה גם א"י.....רץ לשום מקום
תשמח...כי גם ברעאוהב אותך ה
חחחחחחחחחח יא דלחרץ לשום מקום
החדר שלי הפוך.פנים אחרות.
מאתמול בצהריים סיימתי שלוש גלילי טישולעשות רצונך!
ניסיונות פעיליםלעשות רצונך!



אעעעעעעעע זה עבד!!!!!!!!!!!!!!!!!!לעשות רצונך!
מגניב איך עשית?יהדות=דרך חיים
הורדתי את התוסףלעשות רצונך!
ממממממ בתוספים עסקינן
יהדות=דרך חיים
יאו זה מגניב
לעשות רצונך!


שהחיינו וקיימנו והגיענו לזמן הזה.לעשות רצונך!
...לעשות רצונך!אחרונה


23:16גלידת לימון
באמת שרציתי לחכות לשעה קצת יותר מגניבהגלידת לימון
אבל היה לי יום עמוס
ואני עייפה
ומותשת
ורק רוצה לישון
אז היי, קבלו את הדש היומי בשעה לא מגניבה לחלוטין!!!

(ושוב, זה הכרחי, איזה סמיילי הייתן שמות אם לא הוא?)
בואו נעשה כבר מפגש פורום
יואוו
וגם איפה שנפגשנו פעם שעברה. זה היה נהדר.
הגעתי לשלב של לכתוב דברים בלי קשר, אז תתעלמו.
היו שלום יקירותי.
סופסוף אני זוכה להגיב לדש הנהדר הזה.שחר.
לילה טוב
יואו לךגלידת לימון
לגמרי
אבל איי ממש לא קולית לכן אני לא ישנה מספיק.
אותו כמובןנקודונת.

מפגש מפגש מפגש
בדיוק שם
אויש נוגלידת לימון
הוא לא מתאים בנעל
כןכן
הוא מתאים. הוא מתאים.נקודונת.
אבל ממש לא כמוהו
גלידת לימון
צודקת. הרבה יותר ממנו.נקודונת.
גלידת לימוןאחרונה
איה של איה מקום כבודך, ואיה של כואב לייהדות=דרך חיים
לא בכדי דומים כ"כ
אהעההע מרגליתת|מאוהב|פוסעת
מן הסערהיחידי
על יתומים מתרפקים
על קבר שוקע במצולות אדמה
על סוף שגואל זכרונות
על שירה גדועה וצורחת
על שמחה שנהפכה
על חופה אבלה
על אבל שותק
...יחידיאחרונה
(לא הכי אופטימי שיצא לי).
תותים תותים.פנים אחרות.
מה נסגר איתך?
מה יהיה איתך?
נקודונת.אחרונה
..שעות של אמת.
@פוסעת מסתבר שאבא חסם לי את האינטרנט בפלאפון!!![]()
אז כנראה גם מולטמדיה לא עובד ככה
אה אוווכפוסעתאחרונה
הקדוש ברוך הוא אנכנו אוהבים אותך😘Solomon
תודה.שעות של אמת.
בבקשה
..Solomon
ממשעות של אמת.
שאתה אוהב אותי![]()
חח סתם.
יא לא מבין בדיחות.
סליחה שאני במצברוח מוזר.
חח
Solomon
איך את מרגישה??
אני במצברוח שטותי למדישעות של אמת.
זה נחמד ממש
נו אז תכניסי אותי גם למצב כזה..|מתחנן |Solomon
איך עושים את זה?שעות של אמת.
אני פשוט לא ישנתי כמעט בשבוע האחרון וזה מה שקרה![]()
אני גם לא ישנתי..Solomon
הייתי עייפה ואז התחלתי לעבור את השעה\שעות של אמת.
מה את עושה פוזות של איזה מבינה..??Solomon
הא
Solomon
אני לא יגיד אל עצמי כי זה קשהSolomonאחרונה

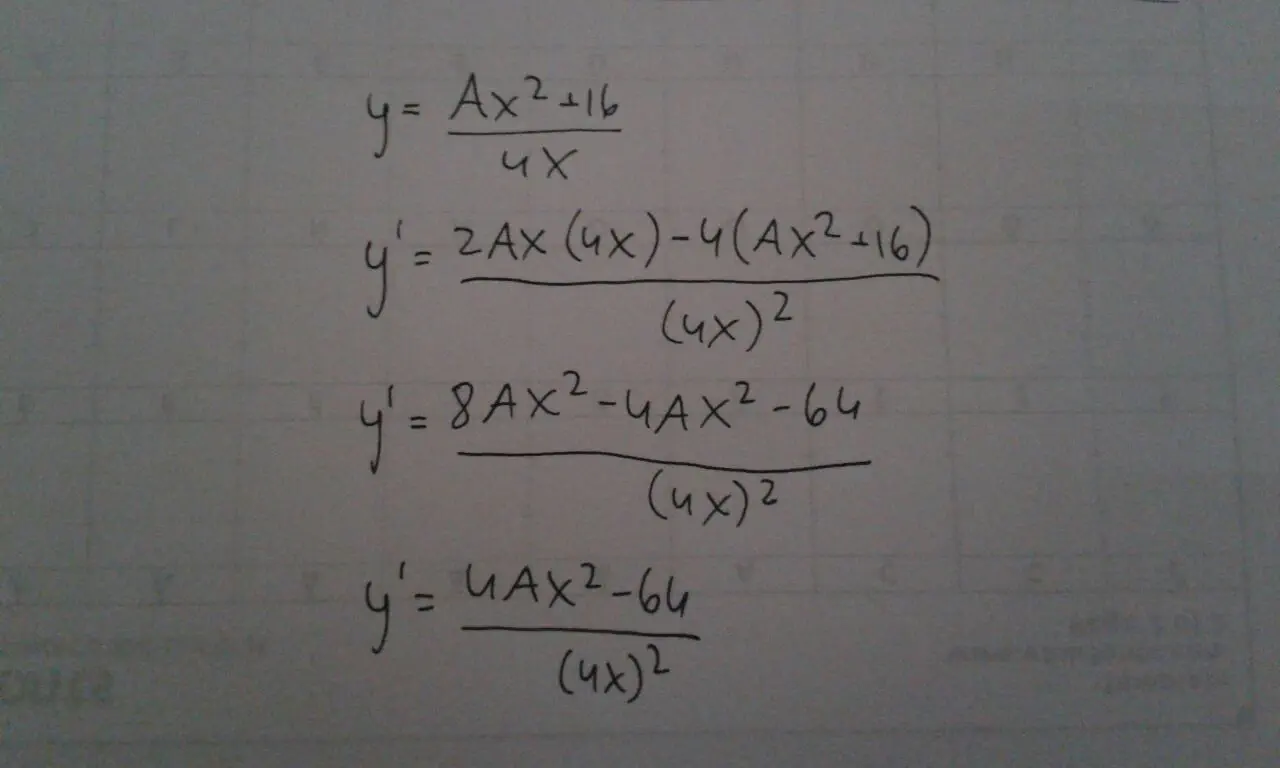
מישהו כאן יודע מתמטיקה ויכול לעזור לי? |מתוסכל|נקודונת.
בנוסחה המקוריתתמיד בבטחה
זה +16 ולכן הכל מתבלבל.




