
משיח נאו בפומ!

בקצרה


משיח נאו בפומ!אחרונהמעתיקה לכם מתוך הספר: דבש מסלע
"עמד השועל משתהה נוכח ההרמוניה בהליכתו של 'מרבה הרגליים' ושאל:
לי ארבע רגליים וכל בוקר אני מתלבט באיזה רגל להתחיל את ההליכה, איך אתה עם כל כך הרבה רגליים מצליח להחליט עם איזה רגל להתחיל את ההליכה?
בערב פוגש השועל שוב את 'מרבה הרגליים' עומד באותו מקום שעמד שם בתחילה.
מדוע אתה עדיין עומד כאן?שאל השועל.
מאז ששאלת אותי, אני תקוע! ענה.
תחשבו על זה...
כל כך חכם..
נקודה טובהאבל יש כאן במקרה עוד אנשים שמרגישים לפעמים שהנפש שלהם *שורפת* מרוב כאב?
שהם ברגע לא מסוגלים לעשות יותר כלום, ונופלים לאיזה בור שחור עמוק עמוק עמוק עמוק שמוציא מהם כמויות של כאב, ותסכול, וזעם, ובושה, ומוות פנימי כזה עמוק?
או שזה רק אני מיוחדת?
(רק להבהיר, אני בטוב עכשיו, בגלל זה מסוגלת לכתוב כאן. אבל יש לי מצבים מסויימים של כאב ממש גדול, ולא נראה לי שכל מי שמסביבי מבין על מה מדובר.. אז אני שואלת, אולי יש כאן עוד יצורים כמוני..
)
לא טוב לי בחיים 
מה נעשה?
יאללה כולם עוזרים לי עכשיו!! קדימה!!!
אין לי כח! חאלס!

מצב שכלום לא מכבה את הבעירה הפנימית של הכאב, והקושי, והתסכול... ואין לי כח לפרט...
אני לא יודעת איך יוצאים מזה... זה בא, נשאר תקופה, ויש כמה אנשים מדהימים שמוציאים אותי בכח כל פעם מחדש...
אולי זה לא מצב אידאלי, אבל זה החיים... (אני יודעת שאני לא כ"כ מעודדת.. מצטערת
רק לומר לך שאת לא לבד שנופלת לשם...)
שהאדם ידע שאך ורק הוא יתברך יכול להושיע לו,ולכן שיזעק אליו מעומק הכאב. ראיתי את זה בספרים של צדיקים כמו הרב אושר זצוק"ל והרב ארוש שליט"א. שמעתי בשיעורי חסידות, במיוחד של ברסלב, שבדור שלנו, שהוא דור משיח בן דוד השם מעביר אותנו הכנה לקראת הנהגת משיח בן דוד, שכמו שאפשר לראות מדוד המלך ע"ה, -כל ספר תהילים זה זעקות ותחינות שלו להשם:"השם אני לא יכול לבד, תעזור ותושיע אותי"- גם ברוחניות וגם בגשמיות. לכן בדור הזה, לפי מה שהבנתי מהשיעורים, הקב"ה דוחק אותנו לפינה שנגיע להבנה ולהרגשה ולידיעה שרק השם יכול להושיע אותנו. אנחנו לא יכולים לעזור לעצמינו. ולא נשאר לנו אלא לזעוק -להתפלל, להתפלל ועוד להתפלל. התבודדויות עם השם .רק זה!
נכתב גם מנסיון אישי בעניין.
"מאין יבוא עזרי"- עזרי בא מתוך האין!
תהיי חזקה שוברת יקרה!
הספר על הרב אושר זצוק"ל :"ר אשר, מפי תלמידיו",דיסקים וספרים של הרב ארוש שליט"א, של הרב עופר ארז שליט"א
הדינמיקה של החיים, הרצוא והשוב, ההעפלה לפסגות והקריסה לשאול התחתיות,
הם חידה לא פחות גדולה מהחיים עצמם.
בת-שבע77"הנפש שלהם שורפת מכאב"
הגדרת את זה בצורה כל כך מדוייקת!!!
ברוך ה' שזה קורה רק לפעמים![]()
כשזה קורה לי אני משתדלת להרשות לעצמי להרגיש את מה שאני מרגישה
להיפגש עם הכאב,לא לברוח ממנו
אבל גם לא לשקוע
אפשר לדמיין את זה כמו המפגש שבין הגלים לחולות
הם נוגעים בחול אך לא שוקעים בתוכו
נוגעים רגע וממשיכים הלאה
הם מצליחים להמשיך קדימה
רק בגלל הרוח
כל אחד צריך למצוא את הרוח שלו
שנותנת בו את הכוח לצאת מהבוץ
לנוע קדימה
![]()
![]()
![]()
צז. כשמרגיש אדם שהוא עלוב, ריקני, אין לו איל רוחני, ונופל הוא ומתמוטט, ידע שאור גדול מוכן לפניו, וכל הגרעונות, הביטולים, בין המעשיים, בין הרוחניים, בין החיוביים בין השליליים של כל ימי חייו
הנם מתיצבים לפניו, וכל עונותיו מעידים עליו, והרי הוא תוהה, מתחרט מתוך מכאובים רבים, והוא מתרומם ושב, יוצא מעומק התהום אל גבעת הרום, מטומאה לטהרה, מאפלה לאור גדול. ובדרך יציאתו ועלייתו הרי הוא עובר מדורי חושך, שמשעממים אותו כל כך, אבל הוא יודע כי רחום וחנון ד', וכי גם כי ילך בגיא צלמות לא יירא רע, כי ד' עמו. ומתוך נבכי תהומות אל ד' יזעק וקולו ישמע, ולאור דעת יקרא ויאיר לו, וחכמה וחסד יתמכוהו ויעטרוהו, ומהרה ישוב לבצרון, מלא חכמה שמחה וגבורה. (שמונה קבצים ג').
חיזקי ואמצי...
כן...נועם ה
.
את יכולה לקחת משם
אל הר המוריה
נקודה טובה
אל הר המוריהכל מקרה הוא שונה ולכן קשה לי לומר איך אני מתמודדת.
תמיד אני מנסה לראות איך אני יוצאת כמה שיותר מהר מיזה ומה יעזור לי לצאת.
נקודה למחשבהאחרונה
לבי ובשרי
b.n
שיר ידידתשבוע אחרון לפני חופשת פסח.

שבוע של חופש מהעבודה אבל הרבה פחות שעות שינה
בנה ביתך
מרדכי
אושר תמידי
אבל זה היה ככ טוב!!מוזר..לוקחים שירים של זמרים יחסית מוכרים ומבצעים אותו אחרת קצת.....קורה הרבה!
לוקחים שיר של מישהו ומישהו אחר שר אותו (יותר טוב או פחות טוב)
כלומר, באופן שהוא לא עושה מזה כסף כמו מכירת דיסקים. אם הוא שר בהופעה פרטית של מישהו (או חתונה במקרה הזה), לא אמורה להיות בעיה.
ותן טלבהתחשב בכך שאני מאמין שרוב החבר'ה כאן לא יקומו בשתיים להעביר את השעון לשלוש - אז מתנהלים כאילו עכשיו כבר עברה שעה קדימה, אז עכשיו 12 כאילו, למעשה...
אז מי ער?
אני הולכת לישון הלילה!! |מנסה לקבוע עובדה|מתיאשת|
)בהגדרות של הפלאפון בהגדרת תאריך ושעה
תבדקי אם זה מופעל אצלך על הגדרה אוטומטית
(לפחות אצלי זה עובד..שלחו לי הודעה לפלאפון שאני אבדוק את זה)
קיצר,תנסי![]()
שמואלגבשביל לא לבזבז שעת שינה אני אלך לישון ב3 לפנות בוקר 
שמואלג
תסבירו לי
מה פיספסתי
עוגי פלצת
) אז היה אפשר להשלים את השעת שינה הקריטית הזאת בללכת לישון יותר מוקדם, אבל בישיבה הסדר יום נשאר כרגיל והולכים לישון באותה השעה הקבועה וגם כך חסרות לי שעות שינה.

לילה טוב 
מרדכי
מרדכיממזמן לא היו זמנים.... מתי אין להם פיגור?
ומה זה פיגור?
מרדכיאחרונה(
)
(הוזנחה קלות בשבוע האחרון..)
רבנים ואירועים שקשורים ליהודים ברוסיה ובארה"ב ב50 שנה האחרונות.
יש משהו?
חפרתי על ויקיפדיה, לא מצאתי כמעט כלום 
וההשלכות של זה לגבי יהודים (או לא יהודים) מרוסיה, העליה ההמונית שם וכו...
ממלא עבודה +
חיה וקיימתברוסיה מה שחסר זה שמות של רבנים מתקופת הקומוניזם (היה בכלל?) ומאז מה קורה עם היהדות שם.
חיה וקיימת
מינימאוס2ותהני עם החתן אם אתם עושים שבת
חיה וקיימתאני אצלו.
אגב, עשינו וורט ואירוסין ביחד לכן לא הוזמנת, לחתונה את מוזמנת 
חיה וקיימתוזה יכול לגרום לך להכניס דברים שיפגעו בערך העבודה. לעולם לא תמצאי בחב"ד משהו שלא נראה הכי חיובי על עצמם, והמון חומר שמציג את האחרים לא הכי נחמד. אפילו שאין שום סיבה בעולם לחשוב שאלה יותר נחמדים מאלה , או שאלה יותר ישרים מאלה.
יכול להיות שיש איזה גרעין אמיתי בסיפור ודמיונם של האנשים הרחיב אותו לכדי מעשיה נאה.
בכל מקרה- גם אם לא היה - יכול היה להיות,
וכמו שאומרים על סיפורי צדיקים:
מי שמאמין בהם- פתי
ומי שלא מאמין- כופר...
זכותו של כל אדם או זרם לספר את הנראטיב ההיסטורי שלו
או לספר את ההיסטוריה מנק' המבט שלו, עם הדגשים שחשובים לו
זה לא עושה אותו לא- אמין או לא -עובדתי .
יש המון סיבות בעולם לחשוב וגם לדעת שחב"ד הם נחמדים יותר, ישרים יותר
ושיש להם תיעוד היסטורי מדוייק יותר
למשל?
יש להם אהבת ישראל בחינם עצומה (מה שלך אין.... לפחות ממה שניכר מההודעה הזו^)
למשל אחרי השואה הרבי הקודם הורה לאחד החסידים לעבוד על תיעוד היסטורי- כתיבת תווים לכל הניגונים של החסידות.
יש להם מידע מדוייק מאוד.
האם קראת פעם ספרים של חוקרי חסידות חב''ד או שאת ניזונה מכתבות ופרסומים מגמתיים ודעות קדומות?
ישנה רשימה ארוכה של ספרי ביוגרפיה על חסידים שחיו בברית המועצות בתקופת לפני-סטאלין-אחרי וההסטוריה כתובה שם בדיוק כמו שתמצאי בספרי תיעוד כלליים של התקופה.
דוגמאות לספרים מדוייקים להפליא: סוערות בדממה, האיש שלא נכנע, סמרקנד ועוד.
כאחד ממשפחה שחוותה את הדורות האחרונים בברית המועצות של תקופת שלושת אדמור''י חב''ד האחרונים (וגם הרבה אחורה) שחלקם נרצחו על קידוש ה' בידי כיתת יורים ללא משפט רק כי היו 'שניאורסונים' וחלקם עדיין חיים ומספרים, לצאת בהכרזות כמו שלך זה עיוות גדול יותר.
איך אפשר להכחיש דור שלם של חסידים שישבו עשרות שנים בכלא ומחנות סיביר על הפצת יהדות וחלקם עוד חיים ביננו?
ביחוד שהרבי הריי"M מחב"ד השקיע שעות על גבע שעות בתיעוד וחקירת החיים היהודיים במשך 300 שנה האחרונות
נראה לי שהאדמו"ר הראשון נפטר לפני 1914 אז הוא היחיד שלא נכנס.
בחב"ד - לובאביץ' יקראו בשם אדמורי חבד רק על אלה שלהם ולא על כל האחרים .
צריך לזכור שבנוסף לחבד לובאביץ היו גם חבד קאפוסט , חבד ניעז'ין, חבד ליאדי, חבד רציצה וחבד בוברויסק.
כאשר חב"ד קאפוסט קיימת עד ימינו למשל הרב לנדאו מבני ברק.
וגם זכור שכל חבד בארץ זה הרבה פחות מחסידות גור למשל. והרבה הרבה פחות מעשירית מתושבי רעננה.
קישור שמסביר על הארגון, אבל רק מעט על הפעילות בזמן מסך הברזל -http://www.machanaim.org/about/hebrew/about.htm
ויש את אסירי ציון - נתן שרנסקי, יוסף מנדלביץ', יולי אדלשטיין ואחרים.
יש כיום בארצות שהיו תחת שלטון ברית המועצות פעילות של שליחי חב"ד, וגם של חסידות קרלין סטולין (לא יודע באיזה סדר גודל).
עוד רבנים בולטים בארה"ב - הרב יעקב קמינצקי והרב יצחק הוטנר.
פעם קראתי שח"כ שמאלני מארץ השמאלנים לא זוכרת את שמו, אמר לרב לאו, ש"אם יש יהודי אחד בברית המועצות שיודע שהוא יהודי- זה בזכות הרבי מלובאביץ"... אפשר להבין מכאן את גודל המעשים והפעולות שלו הנושא הזה..
שלהם
http://www.nps.gov/elis/index.htm
יש ספרים חב"דים בשם סמרקנד שמתאר את חיי היהודים הבוכרים והחסידים עש שנת תשל"ב +-
יש את תולדות חב"ד בארה"ב שמסקר את חב"ד והיהדות בארה"ב מתחילת שנות החמישים
יש ספר בשם הכל לאדון הכל שמופיע שם תיאור של החיים היהודיים בארה"ב.


לבי ובשרי
עוגת גבינה.אחרונה

חרותיק

אחרי שהשעון כוון ל6:30 שעון חורף שהתחלף לבד
אני ממש צריכה לשמור על הפה שלי לומר בתפילה "טל ומטר לברכה" כי לא מרגיש לי בכלל חורף
אלעזר300הגנן כרת את כל ההדסים לידנו... 
טאבולה ראסה
בת-שבע77פעם הוא הזמין ואותנו להופעה שלו בתל אביב. בחור מקסים!!!!
אושר תמידי
שבת שלום ומבורך!לבי ובשריאחרונהובטח שקניתי הרבה סוגים מיוחדים של אוכל בגלל פרסומות.
תמיד הרגשתי בדיוק כפי שאת מתארת (עד לרגע זה)
והסבירו לי -
כשמשרד פרסום עובד עם לקוח,
הוא מראה לו גם איך הפרסום שלו עובד בפועל
ומעלה את המכירות למוצרים שהוא מפרסם...
אז כנראה זה עובד 
הגעתי למסקנה שאני איש מיוחד 
ואז כשראיתי שלאט לאט יותר פרסומות נוגעות אליי
ואפילו מעניינות אותי -
התאכזבתי 
רוב הפרסומות מיועדות לאנשים ש"יושבים" כבר בחיים שלהם, מבוססים, יש להם משפחה, ילדים וכו'...
לכן רוב הפרסומות, עדיין, לא נוגעים אלייך - כי כאשר יש שוב ושוב פרסומת מציקה על חופשה משפחתית חלומית בכרתים במחיר מבצע - זה לא נוגע אלייך כי את רווקה. וכן הלאה...
בואי נגיד ככה, עוד עשרים שנה תפתחי שרשור דומה ותגידי כמה אחוזים מהפרסומות נוגעים לדברים שחשובים לך/מעניינים אותך.
תתפלאי כמה תהיינה כאלו...
לגופה של שאלה: פרסום נועד גם: א. ליידע אותך על מוצר/דבר שלא ידעת עליו קודם, ופתאום אתה מגלה אותו וברגע שהוא מפומפם לך לשכל, אזי כאשר כבר תשקול לקנות משהו כזה, ישר המוצר הספציפי של החברה הספציפית זה מה שיקפוץ לך, אפילו אם זה רק מהתת מודע...
ופרסום נועד, כמובן, גם: ב. לשכנע אותך לקנות את המוצר, לפתות אוך שזה בדיוק מה שחסר לך כרגע.
בכל מקרה הפרסומת עצמה היא רק כלי - אם את אדם שמספיק שולט על עצמו, את יכולה להסתכל על הפרסומת, להחליט האם זה דבר שבכל מקרה רצית לקנות, והאם הפרסומת נתנה לך מידע שלדעתך הוא רלוונטי מבחינתך לשיקול דווקא לבחור בחברה הזאת ולא באחרת.
אז לא, אני בכלל לא חושב שפרסומות זה דבר מיותר, בשום אמצעי מדיה שהוא.
פרסומות זה חשוב, אבל גם חשוב לדעת איך להתייחס אליהן - ואז אתה יכול למצות את כל הטוב מהן...
פחות מהרגיל
אז תשובה לשאלה האמיתית: אם אני לא טועה, בהחלט היו מקרים שנהייתי מודע יותר למוצר מסויים בגלל פרסומת ובמובן מסויים זה סייע לי לבחור בו.
"רק היום 50 הראשונים!!!"

הרי משקיעים בזה מליונים
ולא סתם
כנראה שזה מביא את התועלת הרצויה
רק כי הוא הופיע באיזה פרסומת ומצא חן בעינייך?
אחרי זה אומרים על בנים שהם מחפשים רק יופי...
בעזהי"ת
זה נועד להעלות את המוצר למודעות;
אפחד לא חושב שתלכי עכשיו לקנות מוצר גדול דווקא מחברה מסויימת ולא מחברה אחרת כי ראית פרסומת.
אבל אם תגיעי למצב שתצטרכי את המוצר הזה- את תבחרי בחברה המוכרת לך. והמוכרת לך זה לרוב- מפרסומות.
למשל, פרסומת למעדן שוקולד. את לא תלכי לחנות לקנות מעדן שוקולד של JOY; אבל אם תלכי לחנות ותרצי לקנות מעדני שוקולד- כנראה שתעדיפי לנסות את JOY מאשר 'מעדן חלב בטעם שוקולד' של חברה לא מוכרת..
אני מדברת איתם על ליל הסדר והכוס שמשאירים לאליהו הנביא.
תומר: שנה שעברה ראיתי את אליהו הנביא! (מתחיל לתאר אותו..)
עדי קופצת: והוא היה חתיך?!?
![]()
הם היו צריכים לצייר את זהבה ושלושת הדובים.
אופיר מסתכל עלי ומכריז: אני יצייר אותה עם חצאית!
(יציאות של כיתה ב' המתוקים
)

חמודיםשיר ידידתיש להם יציאות קורעות..!
מתוקים 
כשהילדים מתוקים.
ואיזה כיף כשמצליחים לראות שהם מתוקים.


בהצלחה בתיקון!
חסדי הים
חרדי מקוריאחרונה
)בפינה מעבר לכביש מול איפה שפעם היה פיצה מתי, ועכשיו זה מאפיית שיבולת השרון...
בהצלחה!!
ועכשיו עוד מילא
בשיא הקיץ שעון הקיץ הוא סיוטטטטטטטטטטטטטטטטטט


אתם יודעים מה זה אומר?
שהקיץ מגיע! (פסדר, האביב
).
חרדי מקורי
טנגענסכשהזריחה גם ככה ברבע לשבע אין ברירה
בת-שבע77מה? משום מה חשבתי שזה במוצ"ש
למה דוקא עכשיו? בשבוע הכי עמוס?![]()
בשל הורים שכחניים... 
אולי זאת אחת הסיבות שקבעו שתמיד ההחלפה תיעשה ביום חמישי בלילה - שאם יש תאקלים, הם "יפגעו" רק בימי שישי הנוחים יותר והפחות קריטיים לרוב...

אני בעד שבתות קיץ
יש יום שישי ארוך לים
ויש מלא זמן לישון בשבת
אמרתי מזמן
מבחינתי, שישאירו תמיד שעון קיץ
אני כ"כ אוהבת מוצ"ש ארוך!
לא כזה שלילה מיד כשיוצאת שבת.
ולא לעשות את כל הדברים שצריך לעשות ליום ראשון כבר ביום חמישי. (למרות שזה תמיד טוב...)
או שלא נרדמים......
כתר הרימוןאחרונה|רוצה לחפש את התמונה ששמו פה פעם על העניין ולא יודעת איפה היא|
b.nובכל מה שקיבלתי תשובות בינתיים- נכשלתי... 
וואו זה לקח הרבה זמןשיר ידידתאנחנו כבר עמוק בתוך הסמסטר...
אולי מישהו כאן יודע (ואולי לא, לא נורא)
האם כשהולכים לשמוע חוות דעת רפואית שניה אומרים לרופא שדעתו היא השניה, ומה קודמו אמר?
רוב תודות. וכל טוב.
למרות שלדעתי כדאי לספר שזוהי דעה שנייה, אם או בלי לומר מה אמר הראשון ...
רפואה שלמה 
כי אז הוא יתקבע למה שהראשון אמר.
כדאי לתת לו לחשוב לבד, וכשרואים שהוא נוטה לכיוון מסוים אז אומרים לו מה שהראשון אמר, ומבקשים ממנו חוות דעת על מה שהראשון אמר.
ובע"ה רפואה בקרוב!



תודה.דינה ל.אחרונהשאם הם שומעים דעה של רופא אחר- זה מייד עושה אותם עוינים,
והם ינסו בכל דרך להסביר לך עד כמה השני טועה. (מניסיוני המר...)
עדיף לשמוע בלי לומר מה אמר השני,
(אלא אם כן את יודעת שמדובר באישיות מאוד נדירה ונטולת אגו של הרופא איתו את מתייעצת)
וכואב לי הראש..
מה עושים?![]()
בהצלחה
לוקחים כדור (אם לא עובר)
ונחים עד למבחן.
בהצלחה !!
עשיתי את זה במבחן בפיזיקה, ואני נגד לקחת כדורים... מגעיל אותי...
ובהצלחה!!!

לשתות מים, בעז"ה יהיה מעולה.
בהצלחה!
סיימנו רק ב19:30.
היה שם כמה הוכחות א-ר-ו-כ-ו-ת, שהיה צריך לכתוב.
מקווה שלא פיספסתי כמה שלבים בדרך.
טוב, אבל עכשיו זה כבר לא תלוי בי.
אבל במבחן פטור באנגלית, יצאתי עם תחושה גרועה (עניתי על חצי מהמבחן ב15 דק' האחרונות) וקיבלתי 89.
אולי הפעם הקב"ה ירצה לאזן לי את זה 
א"כ, מוזמן להתחיל בהוכחה.
אתה כנראה מתכוון ללמה של קנטור. ולא לזה התכוונתי בשאלות מעניינות...
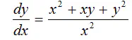
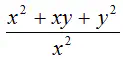
"פונקציה ממשית שהיא רציפה בקטע סגור - רציפה בו במידה שווה"
יש שם כמעט 10 טענות שצריך להוכיח, זה לקח לי איזה שלוש וחצי עמודי פוליו, שם בטוח שכחתי משהו בדרך.
אבל כל האינפי הזה, זה רצף הוכחות משעממות.
והחלק היותר מעצבן הוא, שלפעמים הם מסתמכים בהוכחות על דברים שעד שאתם מוכיחים את זה תוכיחו את זה.
כלומר, כדי להוכיח ש1+1=2 הם מסתמכים שאם אני מחלק מספר במספר גדול מ1, הוא קטן מהמספר המקורי.
ואני אומר, קודם תוכיחו לי בכלל ש- 3/2 < 3, אולי 3 < 3/2 ?
אבל פיזיקה למשל, זה מעניין!
לכאורה בפתוחה, אבל מצד שני הם בחיים לא נותנים את המשפט הזה בבחינה, אא"כ נטרפה עליהם דעתם. מוזר.