אם כן אשמח לעזרה, תודה רבה 
יש פה סטודנטים למתמטיקה?אי''ה
כןאילה שלוחה
בשמחה אם אוכל
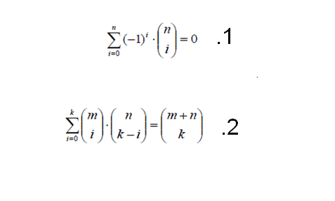
אחלה, הנה שאלה - בקומבינטוריקהאי''ה
יש פה שתי זהויות, אני צריכה עזרה, בהוכחה של הזהות השניה... תודה רבה!!!

פיתרוןאנונימי (פותח)
אני לא בטוחה שזה מדוייק אבל זה הכיוון:
סופרים בכמה אפשרויות ניתן לבחור משמר של k שומרים למלכה מm שומרים כחולים וn אדומים
דרך אחת:נבחר k שומרים מהm+n
דרך שניה:נבחר i שומרים כחולים מהמשמר ואח"כ את שאר השומרים נבחר מהאדומים
וכדי לקבל את כל האפשרויות נסכום על כל הi
מקווה שעזרתי שיהיה ב"הצלחה
עכשיו אני נזכרת מה הייתה הסביה שלמדתי חינוךשירשור
ולא מתמטיקה כזו בעעעעע
שיפ,אי''ה
תודה, אבל מה שעשית- זה הסברת, לא ממש הוכחת...
אבל תודה בכל מקרה 
סיוע ברישום למכון דעת /לוסטיג(מקביל למכון לב וטל)or
בנות חרדיות/דתיות שמעוניינות בעזרה לרישום למכון לוסטיג (ר"ג) / דעת(ירושלים) תוכלנה לפנות אלי במסר"ש..
אשמח לעזור 
דרושות: מקשרותעמינדב1
לעמותת עמינדב דרושות מקשרות לעבודה ברחבי הארץ.
למעוניינות, ניתן לשלוח קו"ח לכתובת
מתאים לסטודנטיות!
רק פניות רלוונטיות תעננה.
מי יכול לעזור לי, אני מאוכזב מפלאפון וגם מהתקשורתאנונימי (פותח)
פניתי לכל העיתונים הישראלים בבקשה שיעזרו לי, ואף אחד לא רצה
התלוננתי בכל מקום על השרות מחברת פלאפון ורק אמרו יבדקו ויחזרו אליך ולא חזרו כבר חודשיים
אז התראאינתי לרדיו המרכזי בצרפת
ודיברתי בשידור חי כשהצטרפתי ביום ג' להפגנת "מאוכזבי פלאפון" המפורסמת בירושלים
אני מאוד אשמח מחר יום ג' לראות מישהו שיבוא ויתן לי עצה איך מגיעים עיתונאים ישראלים למאבק שלי
אני בסך הכל סטודנט
אני בלי אמצעים כספיים גדולים
אני בלי הורים בארץ
אני חושב שכאן זו מדינה לא דמוקרטית - אם הסוכנים של העיתונים אומרים לי שהם מפחדים שפלאפון תמנע את הפירסום
מי רוצה לעזור לי ?
אני מחכה
מי שרוצה אני אהיה כל שבוע ביום ג' מול מרכז שרות פלאפון בשעה 5 אחרי צהוריים - עד שהחברה תחזיר לי הכסף שלי
אני אפילו דיברתי עם משפחתי בפאריס ואמרו ששמעו מה שדיברתי ברדיו,
רב הקהילה אמר שאם כך המצב בישראל-שעיתונים לא מפרסמים , סימן שישראל לא דמוקרטית
מה דעתכם הישראלים
ישראל מדינה דמוקרטית ? תוכיחו לי , תעזרו לי
אאהרון שרביט
סטונדנט
פנה לעו"ד, תמורת אחוזים מרווחי התביעהאלעד
בהצלחה!
אסביר לך בצורה הכי פשוטה למה העיתונים לא מקבליםב.ש.אחרונה
את פנייתך.
כמובן ישנם עוד אנשים רבים שבעייתם דומה לבעייתך. אתה לחלוטין לא לבד בסירה.
את הדברים הבאים שמעתי בהרצאה מפי עורך ראשי של עיתון מסוים.
מדי שנה, חלק ניכר מהכספים של חברות הסלולר (תחשבו לבד באיזה סכומים מדובר) מוזרמים הישר לכל העיתונים (מעיתונים גדולים ואפילו עד מקומונים!).הכספים הללו נועדו להבטיח שהעיתון לא יפרסם שום מודעה הכוללת תלונה/השתלחות נגד אחת מחברות הסלולר.
מכיוון שכך, העיתונים השונים שמקבלים מדי שנה את המעטפה השמנה לא יעיזו לפרסם מודעה כלשהי נגד החברות, מכיוון שהן מפחדות ליצור קרע בכיס שלהן.
לסיכום: אם זה דמוקרטי או לא: לא יודע. אבל שמעת פעם בישראל את המשפט "בעל המאה הוא בעל הדעה"?
יהי רצון שבע"ה תראה ברכה והצלחה.
מלגותשירשור
יש לי רימון ברמה גבוהה והוא חוסם לי ב"ה הרבה אתרים שימושיים למידע עבור מלגות.
יש למישהו מעט מידע לגבי מלגות בטוחות?
או מילגות שמסייעות בתשלום שכ"ל?
תודה!!
תלכי למוסד הלימוד בו את רוצה ללמוד ותבקשי חוברתסוד היצירה
מלגות...חוצמזה תלוי מה הסטאטוס שלך, מאיזה מוצא את, מה את הולכת ללמוד? תואר 2/1 בקיצור הכי טוב שתפתחי באמת יום אחד את האינטרנט ותבדקי.
פרח סלחב וכל אלה..no name102
ואם עלית מאיזה ארץ אז יש מילגות לעולים.
יש גם מלגות ממשרד החינוך.. שאפעם לא מקבלים מהם..
כדאי לנסות את משרד החינוך...לטובהאחרונה
דווקא יש כאלה שמביאים להם - פעם הגשתי וקבלתי
והצטערתי שבסוף שנה לפני לא שלחתי
למרות שקניתי את הדפים בגלל שחשבתי שלא אקבל...
ב"הצלחה!
פר"חסטודנטית23
שלום וברכה,
יש מישהו/י שעובד/ת בתור רכז/ת פר"ח, במקרה?
שעור הלכה בבר אילן - מדי יום רביעי ב 8 בערבאנונימי (פותח)
אמרו לי להעביר הלאה:
ישנו שיעור הלכה בנושאים מגוונים באוניברסיטת בר אילן, במדרשה לבנות קומת כניסה
מדי יום רביעי, בשעה 8 בערב.
את השעור מעביר הרב גיל דביר - ראש כולל הלכה בישיבת ההסדר פ"ת.
מיועד לכל גיל ובעיקר לסטודנטים שרוצים ללמוד הלכה באוירה נחמדה.
למה כ"כ מאוחר???אהוד
זה בערב... מה הקשר לקום שעה קודם?אהוד
זה להישאר באוניברסיטה, ולהתיקע בטרמפים.
ואולי הוא סתם ציטט את הגששים =]]רחלקהאחרונה
יש לי חברה שם..רחלקהאחרונה
שלום..עלמא
למיטב ידיעתי, יש קורסים חופפים כמו פסיכולוגיה, סוציולוגיה ועוד..
מקומות הלימוד בארץ הם אוניברסטאות העיברית, ת"א וחיפה (שיש לה גם שלוחה במכללה חרדית בבני ברק) ובקרית אונו.
תפתחי את האתר של המקום אליו את רוצה להתקבל ותראי מהם הקורסים.. כך תדעי מכמה קורסים את פטורה..
אם תרצי, אשמח לנסות לעזור עם עוד פרטים..
בהצלחה!!
עונה באישי..עלמא
את יכולה שאת מתקבלת להגיד לי. כי אני שנה הבא הולכתרות014
ללמוד חנ"מ.. על מנת לעבור יותר מאוחר לריפוי בעיסוק..
וזה ממש חשוב לי..
ריפוי בעיסוקשירגאחרונה
אני לא לומדת את זה אבל לדעתי יהיו לך פטורים מכל מיני קורסים (פסיכולוגיה, סטטיסטיקה ועוד). זה לא יקצר לך את שנות הלימוד כי זה מערכת קבועה מראש, אבל זה בהחלט יכול לדלל לך אותה.
באוניברסיטת תל אביב יש הרבה בנות דתיות שלומדות את זה, אני לא מכירה מקומות אחרים.
בהצלחה!
ספורט..רות014
מישהו מכיר מישהי/ו שלומד את המקצוע הזה?
מעניין אותי איך אפשר להגיע איתו לחינוך מיוחד ..
ואם יש בו עבודה?
-----------------------------איזה טוב ה'!!!!
ישנם שני מקצועות ספורטיביים שבוודאות משמשים בתחום החינוך מיוחד. רכיבה טיפולית והידרותרפיה.
שני המקצועות הנ"ל נלמדים בגבעת וושינגטון.
אבל אתה לא יוצא מהם עם תואר בחינוך מיוחד..רות014
ובתי ספר למשל לא יכולים לקבל הידרותרפיסט שאין לו תעודת הוראה.
תנסי לברר שם אם את יכולה לשלב במסגרתאיזה טוב ה'!!!!
לימודי התואר גם את התחומים האלו.
אם זאת השאיפה שלך חבל לא למצות את הבירורים בעניין.
אולי חנ"ג?lumana
יש בגעת וושינגטון (אני גם מכירה כאלה שלומדות/למדו שם...)
ויש שם גם חנ"מ, אז אולי אפשר איכשהו לשלב אותם.. שווה לברר!
יש לי חברה שלומדת בגבעת וושינגטוןאילה שלוחהאחרונה
היא לומדת חינוך גופני וחינוך מיוחד
ונדמה לי שאפשר לקבל שם גם הידרותרפיה... לדעתי אפילו חינם
שווה לברר.
הרצאה בנושא יזמות עסקית וחלוקת מלגותmenachem27
האגודה לטיפוח חברה ותרבות, תיעוד ומחקר (ע"ר)
מייסודו של עובדיה בן-שלום
הפדרציה של יהודי תימן באמריקה
Yemenite Jewish Federation of America
שמחים להזמינכם להשתתף ביום עיון בנושא:
"יזמות חברתית ועסקית ונט-וורקינג"
כולל טקס חלוקת מלגות- תשע"א (2010-2011)
אשר ייערך אי"ה ביום שלישי, כט' בניסן, תשע"א 3 במאי, 2011
במרכז האגודה לטיפוח חברה ותרבות,ככר העצמאות 11, קומה ד' , נתניה
טלפון: 09-8331325
בתוכנית:
14:00 - התכנסות ורישום ראשוני עדכון פרטים וסיור קצר במוזיאון האגודה.
14:20 - דברי ברכה : ד"ר אבינועם צברי ; מר ציון שלומי
14:40- פתיחה ותיאום ציפיות – מר עידו עטרי, רכז הסטודנטים
14:45 - משחק חוויתי והכרת החברים
15:00- סדרת סימולציות ומשחקים חווייתיים ודינאמיקה קבוצתית
15:30- הפסקה וכיבוד קל
15:40 – הרצאה בנושא יזמות חברתית עם ד"ר יגאל בן שלום, "מנהיגות אזרחית בישראל"
16:10- הרצאה בנושא יזמות עסקית עם אורח הכבוד מר צבי ימיני, מייסד ויו"ר הידרו
תעשיות בע"מ ומייסד שותף של צאג תעשיות בע"מ
17:00 - הפסקה קלה
17:10 - טכס חלוקת מלגות
המלגות באדיבות השותפים :
מר יוסף בר נתן, יו"ר ברית יוצאי בוכרה - מר יחיאל יחיאלי, נאמן האגודה
השתתפותך חשובה ,בברכה
ציון שלומי, מנכ"ל האגודה
"להגשת מועמדות לשנה הבאה ושליחת קו"ח וקבצים רלוונטיים,יש להיעזר במייל:
net.il hagoda@barak. E-MAIL
מדרשת תל חי- מי מכירה?!סטיגידיש
אני אתקשר אליהם מן הסתם.. אבל אני מחפשת מקור לא משוחד לברר כמה פרטים..
מכירים? אשמח לדעת...
שלום לכולםשירה22
יש לי מספר שאלות...
*משהוא למד את הספר של צבי לם ההגיונות הסותרים בהוראה? אם כן אני ממש אשמח לסיכום של הספר, בעיקר של הפרק הראשון....
*השנה בעז"ה אני גומרת את התואר
אבל הוא בלי תעודת הוראה ובעז"ה שנה הבאה אני רוצה להשלים...יש לכם רעיונות למקומות???אני אשמח לשמוע..
תודה רבה רבה
יומטוב
איזה פורום נהדר אפחד לא מתייחס..תודה רבה..שירה22
תודה בכל זאת
שירה22
את בטח ממכון טל.אליסף א
כי אם כן
אז לא צריך לקרוא את הספר אלא רק את מה שיש בעבודה עצמה
או במצגת שהוצגה בשיעור
אם את לא משם
אז כנראה כן תצטרכי לקרוא את הכל .
בהצלחה.
אני לא ממכון טל..שירה22אחרונה
תודה בכל זאת..
שבוע טוב.
מישהו מכיר קורס גרפולגיהי. י.
שנפתח בזמן הקרוב? באזור ירושלים, ולא במכללת שלם.
אם תרצה,אלעד
באימג- וזה משו חרדי לבנות..no name102
אם יש כזה, הוא בטוח לומד כעת, ולא פה...אהוד
![]()
מה זה תכנית הנבחרים?yanivsh1
נחמד שניהיה פה פורום ללימודים=]no name102אחרונה
ראו סרטון של ביה"ס לקולנוע- הופק בימים אלו...אנונימי (פותח)
זה הלינק-
http://www.kolnoath.co.il/
או זה-
http://www.youtube.com/user/shraga1231
דרך אגב יום פתוח מחר לפרטים: 054-8460183
לא בשערי צדק!!!רננ.
תלוי מאד מאד מה הסיגנון שלך!דינדין
כלומר אני גם בתיכנון של רפואה אם כי אני מעוניינת באחיות.
אז לפי מה שביררתי (רק על לניאדו ושערי צדק)
לניאדו יותר רציניים כמדומני מבחינה רוחנית, כלומר הם שמים גם דגש על הפן ההילכתי שברפואה
לעומת שערי צדק שלא מזכירים את זה בכלל.
אני יכולה לעזור לך מהמעט שאני יודעת...פלונית.אלמונית
בלניאדו לומדים שנתיים וחצי לתעודת אחות מוסמכת,ואז אפשר להתחיל לעבוד ובמקביל להשלים לתואר ראשון בסיעוד.
אותו דבר גם בשערי צדק,רק ששם לומדים 3 שנים לפניי שמתחילים לעבוד בתחום.
במכון טל לעומת זאת,הבנתי שצריך לגמור ללמוד הכל(כולל התואר) ורק אז להתחיל לעבוד,שזה אומר 4 שנות לימוד.
ולניאדו אכן הכי דתי..לא רק בלימודים עצמם,אלא גם בדרישות שלהם מהבנות(בגדים וכדומה..),אבל הצוות מאד מומלץ.
לא יודעת להגיד לך יותר מידיסוד היצירה
אבל ילדתי בלניאדו זה נראה מקום טוב מבחינה דתית 
