(B(t;2t
(C(10;7
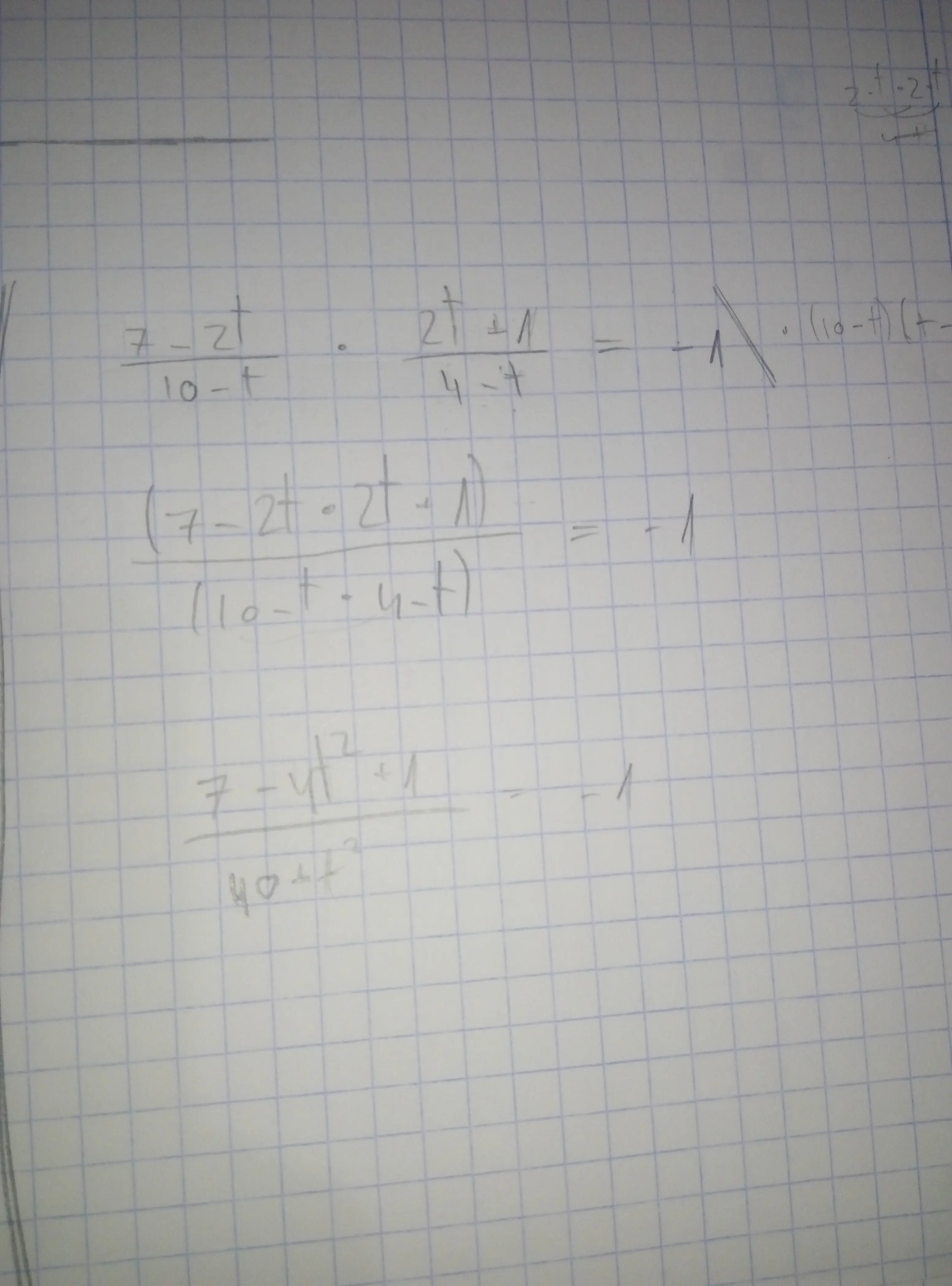
מצא לאילו ערכים של t הקטעים AB ו BC מאונכים זה לזה…
איך עושים אתזה? אפשר כיוון?
אני צכה למצוא שיפוע של אחד מהם ואז את השיםוע של השני הפוך ואז נוסחאת שיפוע של שתי נקודות רק להציב הפוך??? |לא מבין מה הוא מברבר בכלל|||
הוא הפוך במכנה

איבדתי אותך איפשהו בתגובות המתוסכלות לעצמך.. יש מצב אני עדיין זוכר את החומר הזה
פוסעתתשלחי את מה שלא הצלחת, נראה אם אני יכול לעזור

יהיה יותר פשוט אם תשלחי צילום של השאלה, כנראה שאני לא אצליח לנחש את התרגילים לבד.
ותפסיקי לייאש את עצמך.
מסתבר שכדאי ללמוד בשיעור בכיתה ז-ח-ט ולעשות שיעורים מתחילת שנה ולא רק כשהמורה מאיימת|פטיש|צריך עוד כמה נתונים חוץ מבית הספר שלמדתי בו כדי לקבוע שאני גאון.
וכן, כדאי..
לא עוצריםפשוט לומדים להכיר כל מקרה לגופו
וממש לא מאוחר מדי.. יש לך עוד הרבה זמן עד הבגרות
ע"פ הנתונים אנחנו יודעים
שהשיפוע של AB כפול השיפוע של BC שווה למינוס 1
עכשיו רק חסר למצוא את השיפועים
ולהציב במשוואה
ולמצוא את ערכי t!
יש כל כך הרבה טעויות בחישוב שיפוע
לדוגמא:
להחליף בין הXים לYים
חשוב!!!!
אם במונה הY הראשון היה שייך לנקודה A נניח
אז במכנה הX הראשון שייך גם לאותה נקודה!!!
תראי אם זה יפתר....
דרך:
ישרים מאונכים זה לזה אם מכפלת השיפועים שלהם שווה ל מינוס 1.
תחשבי את השיפוע של כל ישר- הפרש yים חלקי הפרש xים, תכפילי ביניהם ותשווי ל(1-), ואז נשאר לפתור משוואה בנעלם אחד.
ותעשי את זה מההתחלה, שלב שלב, ולא מבולגן. ככה תוכלי לראות אם וכאשר יש טעות, איפה.
אם רק היית יודעת כמה אפשר ללמוד בשנה...



זאת בדיוק הטעות אליה התכוונתי |רותח|
2t+1
____
t-4
ועייני שרשור בדיחות שואה
אם יש עוד תרגילים- חופשי...
ומה מכון לב? פספסתי משהו מעניין?
נשמע כאילו בהחלט פספסתי..
שאלה 4, כן?
לא בא לך לספר מה בדיוק פספסתי?


מעניין אם הקבוצה עדיין קיימת..
אני יכול לברר
(אבל אני כנראה לא אעשה את זה מסיבות מובנות) בכ"מ, המון מהמחזור שלהם עזבו את מכון לב.
ואני מעודכן, את שוכחת שיש לי בבית אחיות...
בכל מקרה, תמצאי את שיעורי D וE (ממוצע של הנקודות בקצה הקטע), ואז תעשי משוואת ישר של כל תיכון ותשווי ביניהם.
לגבי סעיף ב'- אפשר להראות עם פיתגורס שהמשפט מתקיים.
תשיגי מצלמה יותר טובה, או שתפתרי מחדש בלי טעויות
הכתב לא הכי ברור אז יש 2 אפשרויות:
א. המשוואה של BE אמורה לצאת y=x-1, ואני לא בטוח אם זה פלוס או מינוס במה שכתבת.
ב. בהנחה שכן כתבת נכון במשוואה של BE, אז כשהעברת אגפים בסוף בסוף, לא הפכת את 1- ל1+, ככה שבמקום 6X=48, יצא לך 6X=46.

והם גרים בית ליד בית, ואחותו חברה שלה, ככה שאני די בטוח שהם מודעים אחד לקיומו של השניה
פוסעת
ימח שמו כמובןבכל שנותי שם מעולם לא נתקלתי במישהו לומד בקו 6..

אני דווקא העדפתי את 39
פחות שימושי לטליה
מכל מיני סיבות, ולא כאן המקום להאריך, לא הושכמתי ב3 השנים האחרונות שלי שם... דאגתי לעצמי
א. זה לא כלכך שייך לדיון הזה, אבל בקיצור:
ב. זה שהוא לא התפלל עם שאר הישיבה זה לא אומר שהוא לא מתפלל
ג. הוא אמור להגיע לתפילה גם אם לא בא לו
) למרות שספרות היה נחמדיש בזה עוד כמה צדדים.. בקיצור:
אף אחד לא מכריח להתפלל, רק לבוא לתפילה.
יש את עניין המסגרת, שגם אם הוא לא מתפלל, הוא מחוייב כמו כל תלמיד לעמוד במסגרת של המוסד. זה עניין טכני לחלוטין.
מהותית- יש עקרונות שגם אם הבחור לא כלכך מסכים איתם כרגע אי אפשר להתפשר עליהם, ותפילה זה אחד מהם. אם זה משהו אמוני- זה צריך התייחסות מסוג שונה, וזה בד"כ נסגר באופן אישי מול התלמיד. אם זה סתם קושי לקום בבוקר- לוותר זה לא פתרון, ויש פתרונות אחרים שכוללים בתוכם גם את התפילה עם הישיבה.
בנוסף, תפילה בזמן זה הרבה מעבר ל"לקום בבוקר ולמלמל", זה ממש מכניס את היום למסגרת חיובית ונותן התחלה טובה. תחשבי שלבחור לא בא לקום כרגע, אז הוא יקום מאוחר, בקושי יספיק לאוכל, כנראה תהיה לו איזושהי תחושת החמצה, וזה עוד לפני שהוא התחיל את היום.
זה ממש על רגל אחת. הייתי מפרט, אבל זה לא הזמן עכשיו... בהזדמנות.
מוזמנים לחלוק עלי כאוות נפשכם.
וזה חלק בלי נפרד מהשגרה של מוסד תורני.
תפילה זה הרבה יותר חשוב מסתם שיעור.
דופק להם את היום? שיילכו לישון מוקדם. אפילו במסגרות לוחצות כמעט תמיד אפשר להשיג 7 שעות שינה ברווח. תפילה זה יותר חשוב.
זה לא תלוי בסולם החשיבות האישי של כל אחד, זה חשוב על פי התורה, וזהו. השאלה עד כמה זה באמת מופנם אצל כל אחד.
הכי טוב פשוט ללמוד על חשיבות התפילה. ברגע שהאדם מפנים מה זה אומר תפילה, יהיה לו יותר קל לקום לזה.
להבדיל- איך לעבודה אין מצב לאחר, ולא משנה מה? חשיבות ומחויבות.. אותו דבר.
חוץ מזה, קשה יש רק בלחם. הייתי בפנימיה, או שמוותרים לעצמך ואז התפילה שלך תראה לפי המצב רוח שלך וחבל, או שמתאמצים. אפשר להחליט שבחצות (ו כל שעה אחרת לפי הכמות הנדרשת) הכל נכבה, ויהי מה. או מצד שני, אפשר לעשות דברים מעירים לקראת התפילה- מקלחת לדוגמה, או לעמוד כל התפילה (זה עובד, מניסיון).
בעניין זה- תפילה בעוד כ5 שעות, אז אני אלך להתכונן.. המשך יבוא בעז"ה בעיתו ובזמנו..
)פוסעתבוקר טוב!
מצד אחד יש ערך מוחלט לתפילה, גם אם כאלו שלא חושבים ככה לעצמם, זה פשוט ככה, וזה לא קשור לשום מוסד לימודים עוד מסגרת. לקום לתפילה צריך גם בחופש. ולכן הטענה של "מי שלא חשוב לו, שלא יקום" לא נכונה. אדם לא בוחר לעצמו איזו מצוות לקיים ואילו לא. הייתי מנסח את זה ככה- "מי שלא חשוב לו, שיגרום לזה להיות חשוב לו. ויקום בלי קשר".
מצד שני- מסגרת, זה יותר עניין טכני שבא ליישם את צד א'. בית הספר הוא מוסד תורני, וככזה יש לו ערך לתפילה, והתלמיד שלומד במוסד הזה צריך לקבל את ערכי המוסד, גם אם הוא לא בדיוק חושב שהם נכונים.
הערת אגב- זה לא תמיד נכון שמקפידים על תפילה יותר מאשר על שיעורים, לפחות אצלנו. זה בד"כ תלוי כמה זה אכפת למי שאחראי על זה (תפילה- מדריך/רב, שיעורים- מורה). יש מחזורים שהנוכחות שלהם בתפילה נמוכה מאוד, ומצד שני יש מורים שמי שיבריז להם יחטוף חזק. למרות שאני חושב שברור שצריך לשים יותר משמעות לנוכחות בתפילה, כי זה פשוט יותר חושב מהשיעור, ולכן גם לא צריך להיות אותה רמת הקפדה.
ועוד הערה- את יודעת שאם תעבירי את הדיון הזה לפורומים יותר אמיתיים, סביר להניח שתקבלי תשובות יותר טובות ומיותר משתתפים..
אנחנו צריכים למצוא את שיעורי הX והY של נקודה O
לכן אנחנו צריכים שתי משוואות
משוואה ראשונה: 2DO=AO
משוואה ראשונה: 2EO=BO
בהתבסס על המשפט:
נקודת מפגש התיכונים מחלקת את התיכון לשני חלקים
כך שהחלק הקרוב לקודקוד גדול פי 2 מהחלק השני
עושים משוואת מרחק כאשר X וY הם נעלמים
ואת ב
מצטטים את המשפט שאמרתי
אני חושב שהקטע של השאלה זה בלי להשתמש במשפט..
אבל בבגרות את אמורה להשתמש בכל מה שלמדת, ככה שגם לא ישאלו אותך כזה דבר, ואם כן, יכתבו במפורש שאסור להשתמש במשפט הנ"ל.
ואח"כ התבססת על הסעיף השני
לכן אולי מדויק יותר לכתוב
מוכח ע"י המשפט כמו שהובא בסעיף הראשון
בכל מקרה אם זה מבחן עדיף לא להסתכן...
עכשיו תפתרי מחדש
ותראי אם את מצליחה...

לעומת מןרה אחרת שאבוי למי שמפספסת תפילה… השאלה אם המוסד שם דגש גדול על התפילה ומתנהל בהתאם או שכל מורה ושיקולו… אני לא מבין מה זה אומר "לך זה חשוב". לא אני קבעתי את סדר העדיפויות, וזה לא סולם ערכים סובייקטיבי. יש הלכה, והיא אומרת שצריך לקום להתפלל במניין, גם אם קשה.
זה שמכריחים מישהו לקום, זה עניין טכני של המסגרת, זה לא יגרום לו להתפלל אבל הוא בכל זאת צריך לקום. למה? כי המערכת החליטה שתפילה זה דבר מחייב, גם אם התלמיד "לא מתחבר לזה". אני מניח שבכל מקרה חריג, התלמיד יכול לפנות לרב שלו ולדון על העניין ויכול להיות שהם יסגרו ביניהם איזה דיל, אבל לא מחייב.
לעניין הברזות- כמו שמקבלים עונש (או שלא) על הברזה משיעור, ככה גם על תפילה. שוב, זה מאוד תלוי בגישה של מי שאחראי על זה.
באחד המחזורים בתקופתי היה בחור שמהשישית הגדיר את עצמו כחילוני לכל דבר (מה הוא עשה עדיין בישיבה, זו שאלה לדיון אחר..), והוא נדרש בכל זאת לקום לתפילה כמו כולם, גם אם הוא לא מתפלל והוא סתם מבזבז את זמנו בבהיה החלל האויר במשך 50 דקות. למה? מסגרת.
אני מניח ששני הפורומים טובים, אולי נוגה יהיה יותר בשפה שלך. בכ"מ, אם טוב לך פה, אז סבבה... פשוט חוץ מהדעה שלי, אין פה כלכך מבחר כרגע..
וכל אחד יעשה מה בראש שלו.
לדוגמה מגיע רב להעביר שיחה לישיבה, וזה לא בראש של מישהו, זה שנכריח אותו להשתתף בשיחה, לא רק שהוא לא יקשיב, הוא גם יפתח אנטי-תורה (כי זה מה שהרב בא לייצג), לא?. אז נוותר?
זה לא עובד ככה. מסגרת זה הכרחי וחשוב. לצערו של התלמיד, הוא בצד המחונך, והמסגרת נקבעת לפי הצד המחנך. יש דרך חינוכית ומסגרת לבית הספר, ומי שלא מתאים לו- צריך ללמוד להסתדר, גם אם הוא חושב אחרת.
אפשר להסתדר ע"י יצירת אנטי (זה לא באמת פתרון, יותר כמו בריחה מהתמודדות), ואפשר להגדיל ראש ולמצוא פתרון אמיתי- לדוגמה ללכת ולדבר על הגורם האחראי ולמצוא פתרון מקובל על כל הצדדים.
פתרון מהצורה- "אני לא חושב שזה חשוב ולכן אני לא צריך לקום" הוא לא פתרון.
מניסיון אישי של 2 הפתרונות (משני הצדדים של המערכת), הפתרון השני הרבה יותר טוב ומומלץ, ובסופו של דבר הוא גם זה שיפתור את הבעיה.
שורה תחתונה, זה שמישהו לא חושב שערכי המוסד חשובים, לא אומר שצריך לוותר לו עליהם.
בעיקר אם זה ביצפר
פוסעתא. שנינו יודעים שמסגרת זה הכרחי.
ב. אני מצטער, אבל לדעתי אנטי זו גישה קצת ילדותית ולא בוגרת, ולכן אני לא לוקח אותה בחשבון. תחשבי רגע מה זה אומר "אנטי"- עיצבנו אותי, אז אני עושה דווקא. למה? מה זה מועיל? זה לא משנה. לא חושבים 2 מהלכים קדימה, רק תגובה אימפולסיבית מקומית. ככה שבהנחה שאפשר לדבר עם תלמיד כיתה ט' בגובה העיניים, "אנטי" זו לא דרך שמתקבלת. לצורך העניין ניקח דוגמה שלך- נניח שזה שהעירו למישהי יותר מדי ביסודי על אורך החצאית שלך, גרם לה לאנטי בקטע הזה. אם יבוא מישהו וישאל אותה על הסיבה לאורך הקצר של החצאית שלה עכשיו, בכיתה ט', והיא תענה "כי ביסודי הציקו לי על זה אז אני הולכת דווקא", זה יראה די מגוחך וילדותי. יכול להיות שה"אנטי" מהיסודי ידחוף לכיוון מחשבה מסוים, שבסופו של דבר יוביל להחלטה עם סיבות מוצקות מאחוריה, אבל זה לא מה שמדובר כאן, ו"אנטי" זה לא טיעון שעומד בפני עצמו.
ג. לא כלכך הבנתי למה את מתכוונת. זה בדיוק מה שטענתי. התלמידים מחוייבים להגיע לתפילה אך ורק מצד המסגרת (כמובן בהנחה שהלכה לא נחשבת שיקול כי זה לא חשוב מספיק לתלמיד לצורך העניין). מאחורי ההחלטה הזו עומדות סיבות חינוכיות לפי ערכי המוסד, אבל זה לא רלוונטי לתלמיד. ברמת התלמיד אפשר להסתפק ב"זו המסגרת". אם תגיע השאלה "למה?", אז כבר עוברים לשיקולים שמאחורי ההחלטה, אבל בשורה התחתונה - כי ככה המסגרת.
וגם- ??? מאיפה הבאת את זה? מה לא תורני? לא הבנתי.
לא עוצריםב. זה לא סותר, וגם די מחייב. מצד אחד מכריחים, כי מה לעשות, זו המסגרת. מצד שני- אתה חושב שזה לא נכון/חשוב/מוצדק/ערכי? בא נדבר על זה. נשב, נלמד, נשאל, נקשיב, וככה מפנימים. אבל זה לא סותר את זה שהמסגרת היא מחייבת גם אם (עוד) לא מסכימים איתה. לשבור את הכלים עם "אנטי" זה לא פתרון.
ג. מי שלא מבין את החשיבות בא בשביל המסגרת נטו. ברגע שמבינים את העניין שמאחורי המסגרת, באים לא רק בגלל המסגרת.
ד. אז אצלנו זה לא ככה. אין "הלכות מופלות לטובה" או משהו כזה.. המוסד תורני כל הזמן, לא תורני רק בשעת תפילת שחרית.
לפחות בחלק
לא אמרתי שיש שיעורים על חשיבות התפילה (יש פה ושם, אבל לא משהו שיטתי). התכוונתי שמי שישאל (אבל ישאל, מי שיתקוף במקום לשאול אף אחד לא יענה לו), יקבל תשובות, ולא רק "זו המסגרת, תעמוד בה".
למרות שלכאורה שניהם טכני, אני לא חושב שיש מקום להשוות בין הברזה מתפילה להברזה משיעור. לתפילה יש ערך מוסף חינוכי מעבר ל"מסגרת", שכמו שכתבתי למעלה, מי שישאל יקבל הסבר מפורט, ולכן מצופה מכולם להגיע, לפחות ככה אני רואה את זה. הברזה משיעור זה באמת עניין טכני. (למרות שאצלי ספיציפית הצלחתי להפוך את רוב ההברזות לחוקיות, בעזרת פתרון שכתבתי למעלה מתישהו- הלכתי לרב ודיברנו וסגרנו דיל, זה עבד אחלה).
ג. רק אל תהפכי את מכון לב לבני צבי

מסכנה זאתי ועוד ראתה אותי היום. גם המנהלת ראתה אותי רציתי למות. אבל מילא.
מאחורי מסגרת יש שיקולים, המילה "מסגרת" מייצגת משהו, זה לא תמונה שהמסגרת מחזיקה אותה, זה הפוך.
ולכן גם אם שיעור ותפילה שניהם "מסגרת" כל אחד זה משיקולים שונים, ולכן גם בעל חשיבות שונה והתייחסות שונה.
זה ברור שתלוי את מי ומתי שואלים, אני כתבתי לפי מה שאני מכיר וחושב שצריך להיות. כשאני שאלתי את השאלות האלו בתור תלמיד, השתדלו לספק לי תשובות מעבר ל"זה החוק, תתמודד", וגם כששאלו אותי השתדלתי לענות לעניין.
גם התשובה "זה החוק, תתמודד" זו תשובה נכונה (מה לעשות, ככה זה), אבל היא לא תשיג את המטרה, וחבל.
ג. יש בהם חמודים, אבל התכוונתי שלא ישתמע בטעות מדברי שמכון לב זה בית ספר דוס על (כדוגמת בני צבי), כי הוא לא.
לילה טוב!
מי שלא מעניין אותו מה שמאחורי המסגרת והכל זה עניין, יקום ויסבול, כי מבחינתו זה מיותר לחלוטין.
אבל, מי שיבין שמאחורי המסגרת כנראה עומד משהו יותר רציני, וישאל ויברר מה הסיבה, יקבל תשובות, וזה כבר כן חינוך.
כלומר, מה לא נכון במה שענו לך?
אם נותנים תשובה במטרה לנפנף זה יהיה שטחי (ולהיפך, אם לא באמת רוצים תשובה).
בשורה התחתונה, זה כן תשובה נכונה. אולי זה לא מספיק מפורט וברור, אבל זה נכון.
אם זה באמת לא מספק אותך, את יכולה לפתוח ספרים, או לשאול מישהו שכן יענה לך באמת.
כשהייתי בשביעית למדנו יחידה שלמה במחשבת על תפילה, אולי זה עזר.
(ספציפית לטענה שלך על תפילה בציבור- ר' יהודה הלוי מסביר את זה יפה בכוזרי, חפשי "משל הגשם" בגוגל.)


באותה מידה שזה מנפנף זה יכול להיות תשובה אמיתית, מאוד תלוי בשואל, בעונה, ובגישה.
אז אפשר להגיד שהגענו להסכמה בשעה טובה 
עכשיו את יכולה לחזור לשלוח שאלות במתמטיקה כשאת נתקעת..
(נטלה זה היה מקרה חריג, זה כמעט אף פעם לא הגיע לזה)
) מעניין אם זה עובד
מעניין אם זה יעבוד

ישקפיץחייב דחוף.

הרבה התחיל כאן.
כתיבה ופריקה ודברים חדשים, אנשים חדשים
מסגרת שונה לתקשורת.
לילות קרים, שיחות ארוכות שעוברות בהרבה מקומות אבל בסוף משאירות טעם מר של אכזבה וכמיהה.
ציפיות, בלי מקור. פרשנות, רצונות ודמיונות.
נגמר מהר או לאט, אבל בעצם בכלל לא התחיל.
או לא נגמר באמת, עד שנגדע. ואז שוב, מבליח, מצפה-מתאכזב-שוקע, נשאר לבד.
ובסוף הכל חוזר לאותה הנקודה, אותה הכמיהה, אותו החוסר.
מה שמילא אך ייסר ובכל פעם היה בלב חצוי, רק הגביר את הרצון בכל פעם.
קוראים לזה בכל מיני שמות - בדידות, חוסר בחום ואהבה...
רכבת הרים של רגשות, חיים שלא ממשיכים בשום כיוון למשך תקופה ארוכה.
בכל פעם משהו אחר בא ומתחיל הכל מחדש.
אין סוף. בסוף זה רק אני.
שלום בנצי 👋)